
前言与背景
石墨烯作为一种二维材料,因其独特的电子性质,如高载流子迁移率和可调的能带结构,成为自旋电子学研究的热点。然而,石墨烯本身并不具备磁性,这限制了其在自旋电子学领域的应用,因此需要通过与磁性材料的接触或掺杂来引入自旋极化,将石墨烯与其他磁性材料结合,形成所谓的“磁性近邻异质结”。然而,这些方法往往难以精确控制石墨烯自旋极化的程度,或者在调控过程中会引入额外的散射,影响电子的迁移率。此外,如何实现在室温下稳定操控自旋极化,以及如何将这些调控机制集成到实际的电子器件中,是目前研究中需要解决的问题。
本研究中,荷兰格罗宁根大学Boxuan Yang教授团队将石墨烯与范德华反铁磁体CrSBr相结合,成功诱导了石墨烯的自旋极化,并且实现了石墨烯中自旋极化的静电调控。利用高场磁输运测量技术,精确地提取了石墨烯中的交换能位移,并发现这一能移在27到32 meV之间。这一交换能位移导致了石墨烯中电子和空穴载流子的自旋极化,且自旋极化的程度可以在-50%到+69%的范围内调节。这一结果表明,通过适当的电场调控,可以实现石墨烯中自旋极化的完全反转,这对于自旋电子学器件的设计具有重要的意义。此外,研究还展示了在高磁场下,石墨烯中出现了非传统的量子霍尔效应,这一现象可以归因于自旋极化的边缘通道的存在。这些边缘通道的形成是由于交换能位移改变了石墨烯的能带结构,导致了电子和空穴的自旋极化。通过自洽模型的计算,研究团队能够准确地从实验数据中提取出交换能移的大小,并且验证了自旋极化随门极电压变化的规律。
实验及结果
这篇文章主要研究了在石墨烯-CrSBr磁性近邻异质结构中,通过静电控制实现自旋极化的方法。CrSBr是一种空气稳定和绝缘的a型反铁磁范德瓦尔斯材料,可以稳定地诱导界面处石墨烯的自旋极化。

图1 设备的结构。(a)双层石墨烯-CrSBr器件的光学显微图。白色的轮廓是脱落的石墨烯薄片覆盖的区域,红色的轮廓是多余石墨烯蚀刻后的石墨烯霍尔条几何形状。中间的绿黄条是CrSBr薄片,它的颜色不均匀是由于其表面的不规则。(b)器件的横截面:显示了由二氧化硅绝缘层与器件分离的掺杂硅背栅。
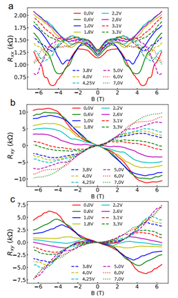
研究通过理论模型分析,在磁场作用下,石墨烯中的电子和空穴在自旋向上和向下通道中的输运行为。研究团队提出了一种基于磁阻测量的方法,通过改变栅极电压来调节石墨烯中的载流子密度,进而控制自旋极化。实验中,纵向电阻在特定磁场下出现最小值,随后急剧上升(图2a)。这个最小值随着栅极电压的增加而减弱,且对应的磁场值也随之变化。显示出磁场对栅极的依赖性,说明了在从多数载流子从电子到空穴转换过程中,交换能位移对磁输运的影响。

图2 在不同栅极电压下,纵向电阻(Rxx)和横向电阻(Rxy)随磁场变化的情况。(a)触点9和6之间的Rxx作为栅电压的函数。(b)触点10和12之间的Rxy作为栅电压的函数。(c)触点8和14之间的Rxy作为栅电压的函数。
研究人员利用高磁场下的输运测量,提取了交换能量差(Δ)这一关键参数。如图3a所示,通过理论计算得到在B = 0 T下,邻近磁化双层石墨烯的自旋向上极化空穴(红色)和自旋向下极化电子(蓝色)态密度,DP表示狄拉克点的位移变化,得到Δ= 27 meV。图3b展示了异质结边缘的朗道能级空间色散和边缘态化学势,其中灰色虚线对应费米能级与图2a中费米能级一致图3c显示了在各个接触点之间,共存的自旋向下的电子(蓝色)和自旋向上的空穴(红色)量子霍尔边缘通道。来自源极接触的沟道以实线表示,而来自漏极的沟道以虚线表示。

图3 磁化石墨烯中交换位移态密度、朗道能级和逆流边缘沟道。(a)左:0 T下Δ=27 meV时磁化双层石墨烯的自旋向上极化空穴(红色)和自旋向下极化电子(蓝色)态密度,交换偏移狄拉克点被标记为DP,费米能级(灰色虚线)位于两个载流子区间,对应Vg-Vg0 = -1.3 V,右:2.2 T下Δ=27 meV时双层石墨烯的朗道能级,蓝线和红线分别对应于电子和空穴朗道能级,实(虚线)线是被占据(未被占据)的能级,箭头指示自旋状态。(b)样品接触点3和2,5和6 接触的朗道能级空间色散和边缘态化学势。(c)共存的自旋向下的电子(蓝色)和自旋向上的空穴(红色)量子霍尔边缘通道。
通过以上理论模型的建立,分析霍尔系数和载流子密度的关系,研究人员将理论模型与实验结果进行了比较,发现模型能够很好地解释实验中观察到的电阻特性。在电荷补偿点附近,纵向电阻的斜率从负变正,而横向电阻的斜率则相反。此外,纵向电阻在低磁场下不随栅极电压变化,这被解释为交换偏移导致的载流子密度与栅极电压无关。

图4 模型预测与输运测量对比结果。(a)栅极电压Vg= 5V时对应的纵向电阻Rxx和(b)横向电阻Rxy,红色虚线对应于使用Δ=27meV计算的Rxy。(c)Δ= 27 meV和B = 2.8 T的朗道能级计算,对应于左侧第一条垂直虚线。(d)与c相同,其中B= 6.2 T,对应于左侧的第二条垂直虚线。(e)栅极电压为Vg= 1.8 V时对应的纵向电阻Rxx和(f) 横向电阻Rxy。(g)Δ=32 meV和B=3T的朗道能级计算,对应e中虚线。
通过实验提取的自旋极化随栅极电压变化的情况,以及理论模型与实验数据的对比。图5a显示了载流子密度,当Vg<Vg0对应于空穴自旋向上多数状态,为正自旋极化。类似地,Vg>Vg0对应于电子自旋向下的负自旋极化。在电子和空穴相等的电荷补偿点,即Vg=Vg0时,极化为零。图b显示了计算与实验得到的霍尔系数,提供了自旋极化的直接测量。如图5c所示,当移出双载流子区|Vg-Vg0| > 4.5 V时,电子和空穴的自旋向上和向下密度增加,从而导致在大的正/负栅极电压下自旋极化下降.。说明通过栅压可以静电调节控制载流子的密度,从而实现从+69%和-50%之间自旋极化。

图5 载流子密度自旋极化随栅压的变化关系。(a)计算的电子和空穴密度。(b)计算的霍尔系数RH和测量的栅电压的函数。(c)计算的(彩色线)和测量的(黑线)自旋极化。计算温度为20K,交换位移Δ = 27meV。
最后该文提出了一种由磁性异质结构石墨烯制成的静电控制隧道结。高电阻(“反平行”)情况在图6左侧,而低电阻(“平行”)情况在右侧。箭头的厚度表示自旋向上(红色)和向下(蓝色)的隧穿电流的大小。在石墨烯层之间施加静电偏置电压,以实现高电阻和低电阻状态。

图6一种基于磁性异质结构石墨烯的电控隧道结的概念设计
结论
这项研究不仅在理论上展示了石墨烯中自旋极化的电场调控可能性,而且在实验上也成功验证了这一现象。提供了一种在石墨烯中实现自旋极化电控调节的新方法,为自旋电子学领域的发展提供了新的思路。通过与CrSBr这种反铁磁材料的接触,石墨烯的自旋极化可以在没有外部磁场的情况下被有效地调控,为设计新型自旋电子学器件提供了重要的理论指导和实验依据,推动了自旋电子学器件的实际应用进程。研究团队的工作为石墨烯在自旋电子学领域的应用打开了新的大门,展示了石墨烯在自旋极化调控方面的巨大潜力,为进一步探索石墨烯在自旋电子学领域的应用提供了新的契机。
原文链接:
https://doi.org/10.1038/s41467-024-48809-w

编辑:孙华骋
审核:刘玉研