
1 前言与背景
金接触基团是分子导线设计的关键组成部分,它们为分子与电极提供化学、机械和电子耦合。然而,先前的研究表明,常用的接触基团如硫醇基、硫醚基和吡啶基在扫描隧道显微镜断裂结(STM-BJ)实验中存在副反应、电极耦合强度不足和稳定性差等问题。因此,为了推动分子电子学的发展,有必要探索更多种类的金接触基团。因甲基硫代甲酸酯的硫醚键具有化学稳定性、C=S键具有强偶联特性,本文作者提出使用甲基硫代甲酸酯作为锚定基团。本文合成了一系列含有R-CS2Me接触基团的分子,并验证了其在制造高导电性和高稳定性分子结中的适用性。
2 研究内容
为了更好地比较甲基硫代甲酸酯基团与其他常用的分子电子学官能团,本文选用联苯和OPE作为分子骨架。

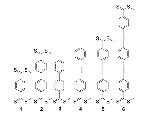
图1:甲基硫代甲酸酯为锚定基团的系列分子(化合物1、2、5、6用于STM-BJ测量化合物3、4用于表面拉曼测试)
2.1 扫描隧道显微镜-断裂结测试(STM-BJ)
0.3 V偏压条件下,在苯醚溶液中对1、2、5、6化合物进行的STM-BJ测试(1、2浓度为10μM、5、6浓度为1μM)。尽管在分子浓度较低的情况下进行测试,但甲基硫代甲酸酯锚定的分子依旧具有极高的分子成结率。

图2:扫描隧道显微镜-断裂结测试的电导一维,二维统计结果a) 1, b) 2, c) 5, d) 6溶于苯甲醚,1-2浓度为10 μM、5-6浓度为1μM
为了评估当分子长度相同时,甲基硫代甲酸酯中存在的C=S键带来的影响,作者制备了化合物12,其中的CH2有效的取代化合物2中的C=S键的位置。并与化合物2进行了对比实验。结果表明,相较于化合物12,化合物2的电导高了一个数量级,这说明甲基硫代甲酸酯基团具有良好的电子传输特性,有助于提高单分子电子器件的导电性能。


图3:化合物12、化合物2的扫描隧道显微镜-断裂结对比测试的电导一维、二维统计图
2.2 稳定性研究:
为了评估甲基硫代甲酸酯基团锚定分子的长期稳定性,将化合物1溶解在二氘代二氯甲烷(DCM-d2)中,对比新制备溶液和室温放置13天后的溶液。结果发现溶液颜色和透明度没有变化。为了进一步证明了甲基硫代甲酸酯基团的稳定性,进一步的1H NMR谱图对比显示,两种溶液的峰线没有拓宽,表明化合物1在氧气和微量H2O存在下具有良好的稳定性和抗氧化性。

图4:新制备、室温放置13天后的化合物1的1H NMR谱图(溶解于二氘代二氯甲烷)
2.3 表面增强拉曼光谱(SERS)测量:
为了进一步证明甲基硫代甲酸酯基团的优异性能,研究者将化合物1-6的粉末和溶液(甲苯)分别置于覆盖金纳米颗粒的硅衬底上进行拉曼测量。结果显示,六个化合物在所有光谱中均存在1195 cm−1的峰(这由C=S拉伸产生),并且具备高强度。这表明C=S已经稳定结合到Au纳米颗粒表面,证明甲基硫代甲酸酯能够有效地与Au形成稳定的化学键,这种强耦合性能也是实现稳定单分子电子器件的关键。

图5:化合物1 - 6在硅衬底上粉末、溶液(1 mM甲苯)的拉曼光谱
3 结论与展望
本文证明了甲基硫代甲酸酯基团在分子电子学中是一种优异的金接触基团。首先,通过STM-BJ测试,证明该基团具有极高的分子成结性。随后,将其与硫醚锚定分子的STM-BJ结果进行对比,发现甲基硫代甲酸酯基团能带来良好的电子传输特性,有助于提高单分子电子器件的导电性能。最后,通过核磁共振谱图,确认该基团在水和空气存在条件下具有良好的稳定性,并通过Raman/SERS谱图证明,即使在金属衬底存在情况下,基团也能够有效地与Au形成稳定的化学键。
总而言之,甲基硫代甲酸酯基团相较于硫醇基、硫醚基、吡啶基等常用基团,具有优异的分子成结率、导电性能、抗氧化性和强耦合性,这些特性使其在单分子电子学领域具有潜在应用价值,证明了向稳定的、更大面积器件过渡的研究中使用该官能团的合理性。本文的研究有助于推动单分子电子学领域的发展,同时也将促进甲基硫代甲酸酯基团在高性能纳米电子器件中的应用。
原文链接:
https://onlinelibrary.wiley.com/doi/10.1002/anie.202403577


编 辑:王静文