文献分享:生命与传感小组

前沿
太阳能一直被认为是一种取之不尽,用之不竭的能源,是解决全球变暖和能源危机的理想选择之一。在过去的一个世纪里,科学家们发明了一系列能将阳光转化为电能的光伏器件,钙钛矿太阳能电池是其中之一,其展现出了巨大的应用潜力而引起了越来越广泛的关注。在实验室条件下,钙钛矿太阳能电池(Perovskite Solar Cells, PSC)已经表明可以与现有的光伏技术相媲美。然而,大多数PSC在受控实验测量环境中所测试出的电池性能与室外现场试验(如昼夜循环,光照幅度和温度不断变化)所得到的性能会有差异[1]。钙钛矿太阳能电池的功率转换效率从2009年的3.8%大幅提高到2019年的25.2%,已经超过了大多数其他光伏设备[2],其工作原理如图1所示。

图1 钙钛矿太阳能电池工作示意图
钙钛矿太阳能电池这一引人注目的进步主要归功于钙钛矿薄膜的可控生长以及钙钛矿成分的可调性,从而可以改进光伏器件结构和对内部电荷传输层的界面进行优化。卤化钙钛矿太阳能电池以其易于制造和较为稳定的光伏性能在高性能光伏、发光二极管(LED)和辐射检测设备方面具有巨大的应用潜力。但是,由于在环境条件下过大的接触电阻和较大的磁滞现象,其电荷传输性能仍然难以捉摸。
内容
美国加州大学洛杉矶分校段镶锋教授研究团队报告了一种范德华(Van der Waals)集成方法,可在单晶卤化钙钛矿薄膜上创建高性能接触,同时将界面损伤降至最低,并提供原子清洁的界面。与沉积的接触方法相比,范德华接触显示出较低的接触电阻(约2-3个数量级),从而可以在较宽的温度范围内进行系统的输运研究。更重要的是,他们在20K下的磁输运研究中揭示了量子干涉引起的弱局域化行为,其研究结果为探索这类“软晶格”新材料奠定了基础[3]。

图2 a,用转移法合成范德华接触的流程示意图;b,在钙钛矿薄膜上的转移法所制备的金电极阵列图像
研究者采用了范德华集成方法(图2a),将预制的金原子平面薄膜电极层直接压到大面积钙钛矿薄膜上(图2b)。为了进一步验证范德华接触器件的高性能,他们以一系列不同的照明强度下的I-V曲线为基础,在室温下收集从18.8 mW cm-2到完全黑暗等不同条件下的I-V曲线数据(图3a)。与温度相关的研究也可表明,器件的线性I-V特性甚至在3.5 K时仍可保持(图3b)。在两种测试温度下,接触电阻随着照明功率的增加而降低,表明载流子产生对于降低功率的重要性。在固定的照明功率密度下,接触电阻随着温度的降低而单调增加,这可能归因于在较低温度下跨接触界面的载流子注入效率降低。

图3 范德华接触器件在各种光照强度下在室温(a)和3.5 K (b)下的I-V特性;每条曲线(从黑色到红色)的功率密度分别为0、0.01、0.1、0.9、1.9、3.8、9.4和18.8 mW cm-2。

图4 范德华接触探测光电载流子动力学。a:不同温度下载流子迁移率与载流子密度的关系。b:直接瞬态光电流测量下的载流子重组寿命与重组系数提取的寿命的比较。
载流子迁移率是在各种不同温度和不同光照强度下得出的。在适当的照明功率下,研究者所测量获得了最高的室温霍尔迁移率,为118 cm2 V–1 s–1,在温度为80 K时增加到1650 cm2 V–1 s–1。在每个温度下,迁移率首先随照明功率的增加而增加,这是因为较大的载流子密度会增大费米波矢量,因此会导致散射过程中的动量变化更大,并降低了反向散射概率(图4a)。另一方面,随着密度的进一步提高,载流子-载流子的相互作用开始起主导作用,从而导致在更强的光照条件下的迁移率降低。通过对比所有实验样品的数据,发现在80 K条件下可实现的最高迁移率为2080 cm 2 V –1 s –1 (图4b)。

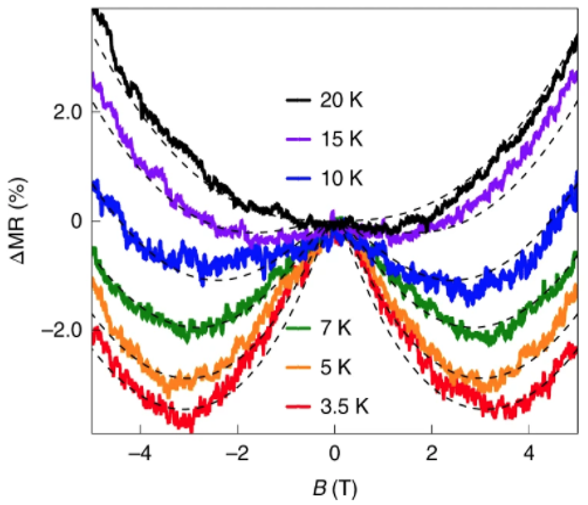
图5 从20 K到3.5 K的弱局域信号。
当范德华接触低至基准温度(Base temperature),研究者能够进行磁致电阻(Magnetoresistance, MR)研究并探究钙钛矿中的量子输运性质(图5)。当在T = 3.5 K时,该器件在低场显示负MR,而在高场显示为正MR。零场处的较高电阻可归因于量子干涉引起的弱局域效应(Quantum-interference-induced weak localization effect)即反向散射电子波函数的相长干涉增加了将电子局域的可能性。因此在零磁场时具有较高的电阻,而磁场的存在会破坏相位相干性和这种干涉效应,从而导致电阻降低和磁致电阻降低。
结论
通过高性能的范德华接触,该论文观测到了“高晶格”离子卤化物钙钛矿中的高霍尔迁移率和量子干涉引起的弱局域效应,表明将钙钛矿作为独特材料平台在基础性的输运研究超越了常规半导体材料。这种金属接触在精细卤化物钙钛矿上的无损集成方法还可以拓展到创造具有高度透明界面的功能性接触(例如铁磁或者超导金属接触),并能够探测卤化物钙钛矿中的其他奇异特性。除了在高性能光伏器件和LED中使用以外,卤化钙钛矿还表现出许多其他吸引人的特性。例如,它们具有巨大的自旋轨道耦合可以用于自旋电子学研究。然而,尽管卤化物钙钛矿的光学研究前景令人振奋,但迄今为止,相关的输运研究在很大程度上一直受到不良接触的困扰。高质量的接触制造对于可靠的自旋输运研究至关重要,可以充分释放此类独特材料的潜力。这种vdW集成方法通常还适用于各种精密材料,包括有机晶体和单分子层,可以为探索用于基础研究和高性能设备的非常规电子材料提供了强有力的研究手段。
原文链接:https://www.nature.com/articles/s41565-020-0729-y
参考文献:
1. Jot M , Lipovek B , Glaar B, et al. Perovskite Solar Cells go Outdoors: Field Testing and Temperature Effects on Energy Yield[J]. Advanced Energy Materials 10, 2000454-2000465 (2020).
2. Huang Y , Liu T , Liang C, et al. Towards Simplifying the Device Structure of High-Performance Perovskite Solar Cells[J]. Advanced Functional Materials 30, 2000863-2000879 (2020).
3. Kawabata, A. Theory of negative magnetoresistance in three-dimensional systems. Solid State Commun[J]. 34, 431–432 (1980).
撰稿人:余培锴(2018级博士)
校稿人:胡勇(2018级博士后)