器件小组文献分享
Nature Nanotechnology: 如何表征单分子热电性质?

前言
从单分子电路的热耗散中高效地收集电能一直是单分子电子学追求的目标,诸多的理论研究表明,通过操控分子长度、利用锚定基团优化分子隧穿耦合强度、或是在分子骨架中创造一个局域态从而产生量子干涉都可以实现单分子电路中热电能量采集器效率的显著提升。然而,实验层面的挑战使得这些理论的验证仍处于待探索阶段。针对这一研究难点,荷兰代尔夫特理工大学、鲁汶大学、牛津大学、西北大学、赫瑞-瓦特大学等单位的研究者展开合作,在实验中首次完成了在单分子电路的栅极、偏压变化过程中的单分子结热电性质表征。通过将这一表征技术与速率方程模型(rate-equation model)相结合,首次揭示了分子振动和自旋熵(spin entropy)的自由度对热电性质的影响,验证了科学家对电子学、自旋学、振动自由度之间具有相互作用的设想正确性。
研究内容
首先,研究者利用电迁移技术和纳米尺度金自断裂技术构建出一个可以实现同时测量与门控电压和偏压相关的单分子结电导、热感应电流的装置(如图1a),该装置可以实现直流和交流的偏压施加,同时可以施加gate电压进行调控,并搭配了可以同时实现热感应电流测量的放大器来求出现塞贝克系数。该工作设计了[Gd(tpy-SH)2(SCN)3]分子作为研究对象(如图1b)。Gd(III)原子具有高自旋磁性中心,因此可以同步研究自旋自由度、电荷自由度和振动自由度。同时,通过将锁定双重调制技术(Lock-in double-modulation technique)和扫描热显微镜(scanning thermal microscopy)、电阻温度计(resistance-thermometer)相结合,可以精准地测量出单分子的热电势。

图1:(a)实验装置的伪色SEM电镜图。VG表示施加的栅极电压,Vsd表示直流偏压,
表示交流偏压,
表示交流加热电流Isd表示分子电路直流电流,
表示交流电流,
热感应电流;(b)用于实验的非对称Au-Gd-tpy-Au分子结。
随后,研究者整理了实验数据并将直流电流(Isd)、微分电导(dIsd/dVsd)、热感应电流(Ith)塞贝克系数(S)和功率因素(S2G)这五项数据与偏压和门控电压的关系做成表征图(如图2)。Isd表征图(如图2a)中连续电子隧穿沙漏型区域的形成与抑制电流相关。微分电导表征图(如图2b)存在一条对应于激发态分子的电子隧穿的线,研究发现该激发态在外加8 T磁场的过程中保持稳定,未发生裂分、移动、宽度变化等现象(这种现象对应于Gd(III)或者配体的自旋激发态)。反而一系列低频分子内振动模式在能量上和实验结果匹配,因此作者将观测结果归属于振动激发态。热感应电流表征图(如图2c)中存在门控电压正-负不对称现象,这种不对称是由向分子中引入电子导致自旋熵变化所引起的。研究者通过测试热电流和门控电压之间的变化情况发现热电流导致温度提高0.7 K,同时这个热电流仅由激发态作用形成的。在该测试体系中,塞贝克系数最高可达到414 μV/K(如图2d),这个数值比以往报道的导电型单分子器件数值提高了10倍以上,同时发现最高功率因数也可以达到3.6×10-4 kB2/h(如图2e)。

图2:实验测得或根据实验结果计算出的(a)直流电流;(b)微分电导;(c)热感应电流;(d)塞贝克系数;(e)功率因素随偏压和门控电压变化的的关系图。
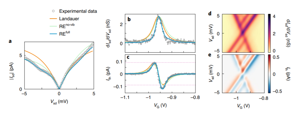
接下来,研究者分别利用Landauer体系和速率方程进行理论计算来论证实验结果。两种理论计算方法以及实验结果求得的I-V图(如图3a)、扫描I-V在zero-bias的电导值(如图3b)和热感应电流(如图2c)被绘制在同一坐标系用于比较,同时作出了运用包括自旋熵和振动模式的速率方程计算出来的二维图(如图2d和2e)。发现Landauer体系和没有考虑分子振动的速率方程模拟均不能重现实验数据。Landauer方法完全依赖于基态跃迁而忽略了简并和电子-电子相互作用,所以无法解释这种不对称性,同时发现不对称的分子-电极本身不足以在热电流中重现这种不对称性。相反,建立这种不对称模型的关键要素是简并度,即自旋熵,涉及到连续隧穿过程以及电子-电子相互作用中电荷态。对于Ith,限流步骤是电子向“热”接触的转移和从“热”接触的转移。依赖于VG的值,电子在“热”界面既对应N−1→N,也对应N→N−1跃迁。最后作者证明出N−1态是双重简并的,因此后一种转变比前一种更可能发生。这导致观察到的Ith出现不对称性,因此这种现象也可以出现在对称的分子-电极耦合的情况下。这些理论分析进一步证明了电子学、自旋学、振动自由度之间的强烈相互作用。

图3:理论计算模型与实验数据的比较(a)VG=-0.96V时Isd-Vsd关系图;(b)0偏压时微分电导;(c)热感应电流;(灰色圈圈表示实验数据,橙色线代表Landauer体系理论计算,绿色线代表包括自旋熵的速率方程模拟,蓝色线代表包括自旋熵和振动模式的速率方程模拟)通过运用包括自旋熵和振动模式的速率方程计算出来的(d)微分电导和(e)热感应电流。
展望
这项工作表明,热感应电流谱是可以直接用来探测单分子的基态和激发态的,它也进一步证明了可以通过设计分子来最大化热电转化效率。另外,提取分子结的自旋熵的可行性也打开了通往多种效应的途径,包括基于Gd的分子的磁冷却(magneto-cooling)效应、自旋复合物(spin-crossover complexes)、ground-state spin-blockade systems等等。此外,该测量方法也使得在中间耦合机制(intermediate-coupling regime)中的Kondo correlations如何影响单分子热电性质的研究具有可行性。
原文链接:https://doi.org/10.1038/s41565-021-00859-7
供稿人:方朝
校稿人:郑珏婷