传感小组文献分享
文献分享《JACS:基于软硬化学设计原则的单分子-金属结组装预测》

1 前言
合理设计分子器件的结构已经成为实现电子元件小型化的最有希望的途径。单分子连入纳米级电路中表现出的高电导、开关、整流等传输现象,使其成为下一代电子学应用的理想材料[1]。目前所建立的有机分子与Au电极间的连接主要是一种介于配位键和共价键之间的连接方式。在供体-受体连接模式中,主要是有机分子上的路易斯碱孤对电子与Au电极上的路易斯酸缺配位原子间发生作用。然而目前并没有一个全面的理论框架来描述或是预测供体原子在分子电子应用中的表现。除此以外,与有机分子线相比,含有配位过渡金属的分子展现了电导增强的特性,并在创建分子开关和实现存储功能方面展现了一定的潜力,这类分子的金属核心与周围有机分子间的结合同样是通过供体-受体连接的方式实现,而通过软硬酸碱理论(HSAB(hard-soft acid-base))可以预测不同配位结合方式的合理性。作者将重点放在通过HSAB理论解释含有金属核心的配合物分子在与Au电极形成单分子结过程中的分子内配位键与金-分子键的作用可能性,预测了两者之间存在一定的竞争行为,并通过设计不同分子测试,研究分子连接环境对金属离子配合物的影响,可通过HSAB理论确定哪些金属配体结合方案能够与Au电极实现兼容,并且可以通过调节分子内的酸碱相互作用影响配合物在Au电极上的稳定性。
2 文献内容
作者首先对能够与金原子形成配位的分子以及目前常用于单分子检测的锚定基团进行了归纳,发现不同性质分子的使用趋势是相似的。如图1所示,巯基/硫醇盐作为软性的代表,是目前做常用的连接基团,而硬性代表的含氧基团很少用于这类连接,而对于软性和硬性之间的氨基或是吡啶分子,目前也已被证明能够在金属与分子间形成足够坚固并且具有一定选择性的连接键。通过从含氧基团到氨基再到巯基,基团软硬程度不同对分子-金锚定强度的改变,肯定了通过HSAB理论对金属原子与分子间装配指导的合理性。

图1:(A)与金原子形成配位分子的软硬顺序;(B)能与金形成单分子连接的锚定基团的软硬顺序;(C)本实验中设计的分子与金电极连接稳定性强度的顺序
在接下来的工作中,作者利用扫描隧道显微镜裂结技术(scanning tunnelling microscope break-junction(STM-BJ))对两种类型的含金属配体的灯笼型分子及其骨架分子进行电导测试,对两类分子在结构上采用了特殊设计,如图2A所示,一种是以硫代羧酸酯为骨架,使得在灯笼型的两端能够连有不同软硬性质的金属原子,其中软性金属为Pt,硬性金属为不同的3d元素(Sc-Zn),因此在分子内形成Pt-S和3d-O的配位组合;如图2B所示,另一种是以羧酸根基团为骨架,两端连有相同的3d元素,这种连接使得在分子结中形成分子-金属间的软-硬连接方式成为可能。如图2D蓝线和2E绿线所示,硫代苯甲酸分子类似于巯基在金电极上的作用情况,在测量的全电导范围内的迹线展现出大量平台,影响了Au-Au特征电导G0的高度。相比之下,硬酸分子羧酸配体虽在先前的报道中证实了可以形成Au-OC(O)键,但并未展现出破坏Au电导平台强度的特征。而作为介于软性和硬性之间的中性路易斯碱,4-硫甲基吡啶(pySMe)不仅展现了良好的测试可重复性,在10-2 G0处形成特征信号,并且不会对Au-Au特征电导G0造成竞争影响(图2E红线)。综合这些信息,作者提出了第一条设计原则:HSAB理论不仅适用于过渡金属配合物的构建,并且能够预测有机配体与金电极间的结合强度。
对灯笼型分子的测试结果揭示了金属配合物内部金属-分子键与外部分子-Au键竞争的关系,如图2D黑线所示,对4a分子的测试结果并未在G0以下出现应该形成的R2S-Au峰,而是形成了与SC(O)R测试相似的测试结果,而对于硬-硬形式结合的金属配合物,如图2E灰线所示,并未对金的特征电导,即1 G0处的峰的强度造成影响,并能显示出轴向配体所应具有的特征信号。因此作者提出了第二条设计原则:根据HSAB原理表明,采用软-软结合形式的过渡金属配合物,在没有足够空间位阻或是其它保护的情况下,即使形成分子内键,同样会受到电极表面Au原子的竞争,造成原有结构遭到破坏。

图2:(A)以SC(O)R为骨架的灯笼型异双金属分子;(B)以OC(O)R为骨架的灯笼型同双金属分子;(C)SC(O)R分子、OC(O)R分子及pySMe分子;(D)和(E)是1mM条件下不同分子的一维电导统计图
作者接下来对不同3d金属与pySMe间的作用强度进行探究,以探索在STM-BJ测试条件下,是否可以通过控制3d金属的路易斯酸性达到对金属-吡啶N分子内键强度的调控。如图3A中所示,对于结合灯笼型分子或是单独的轴向配体pySMe,在其特征电导10-2 G0处均形成了信号峰,通过图3B、3C、3D中的2D电导统计图,表明了三种情况下均是单独的(或是脱落的)pySMe参与分子结的形成。结合图3E中对不同3d金属的分子电导峰强度进行统计,表明随着d电子数的增加,路易斯酸性降低,能捕捉到的脱落的pySMe分子数增加,即降低了金属与吡啶N间结合的稳定性。

图3:(A)1a、5a、pySMe在1mM条件下的一维电导统计图;(B)、(C)和(D)是pySMe、5a、6在1mM条件下的二维电导统计图;(E)M为Mn(灰色),Fe(黄色),Co(红色),Ni(绿色),Zn(蓝色)时的异双金属灯笼型分子在1mM条件下的pySMe标志峰高
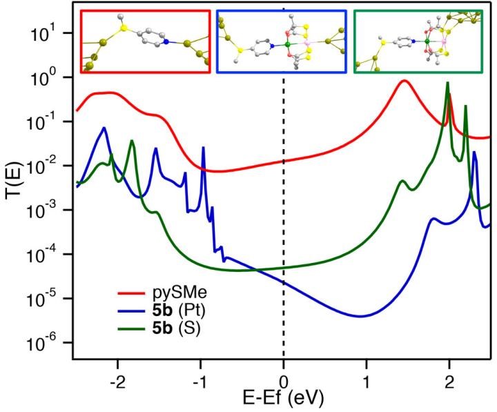
为了验证这一推论,作者对三种类型的分子进行了DFT计算,如图4中红线所示,对于pySMe分子,其透射率强度与在10-2 G0处的特征电导的实验测量结果相一致,而对于复合分子在10-5 G0处应存在的电导信号,在实验中并未明显测得,佐证了观察到的特征信号来源是离解的pySMe分子,支持了轴向配体在复合分子进行STM-BJ测试过程中脱落的假设。结合实验结果,作者提出了第三条设计原则:吡啶N与Au的连接强度可以超过与过渡金属配合物间的连接,通过增强配体金属的路易斯酸性,可以有效的稳定金属-分子间的连接键,并提出了使用阴离子轴向配体进一步提高稳定性的设想。

图4:pySMe、5b(Pt连接)、5b(S连接)的计算透射谱图
3 总结与展望
作者通过对不同软硬性质的金属分子配合物进行单分子电导测试,得到了关于过渡金属配合物在单分子测试过程中的一些独特现象,证实了使用软硬酸碱理论预测金属原子与分子间装配指导的合理性,并且表明在没有足够空间位阻或是其它保护的情况下,使用容易与Au结合的软性有机分子配体容易导致Au电极对其结构的破坏,同时提出了增强配合物内金属的路易斯酸性有利于提高分子内键的稳定性,并对使用阴离子轴向配体进一步提高稳定性进行了设想,这就对金属配合物分子的结构设计和分子选择提供了全新的思考和要求。这项工作所得到的三条规则,为指导金属配合物分子引入分子电路及未来分子电子学的发展做出了很好的铺垫。
4 参考文献
[1] Xin, N.; Guan, J.; Zhou, C.; Chen, X.; Gu, C.; Li, Y.; Ratner, M. A.; Nitzan, A.; Stoddart, J. F.; Guo, X. Concepts in the design and engineering of single-molecule electronic devices. Nature Reviews Physics 2019, 1, 211−230.
供稿人:汤子云 2021级硕士
校稿人:郭殊涵 2021级硕士